Mr. Doran's Algebra 2
Tuesday, April 1, 2014
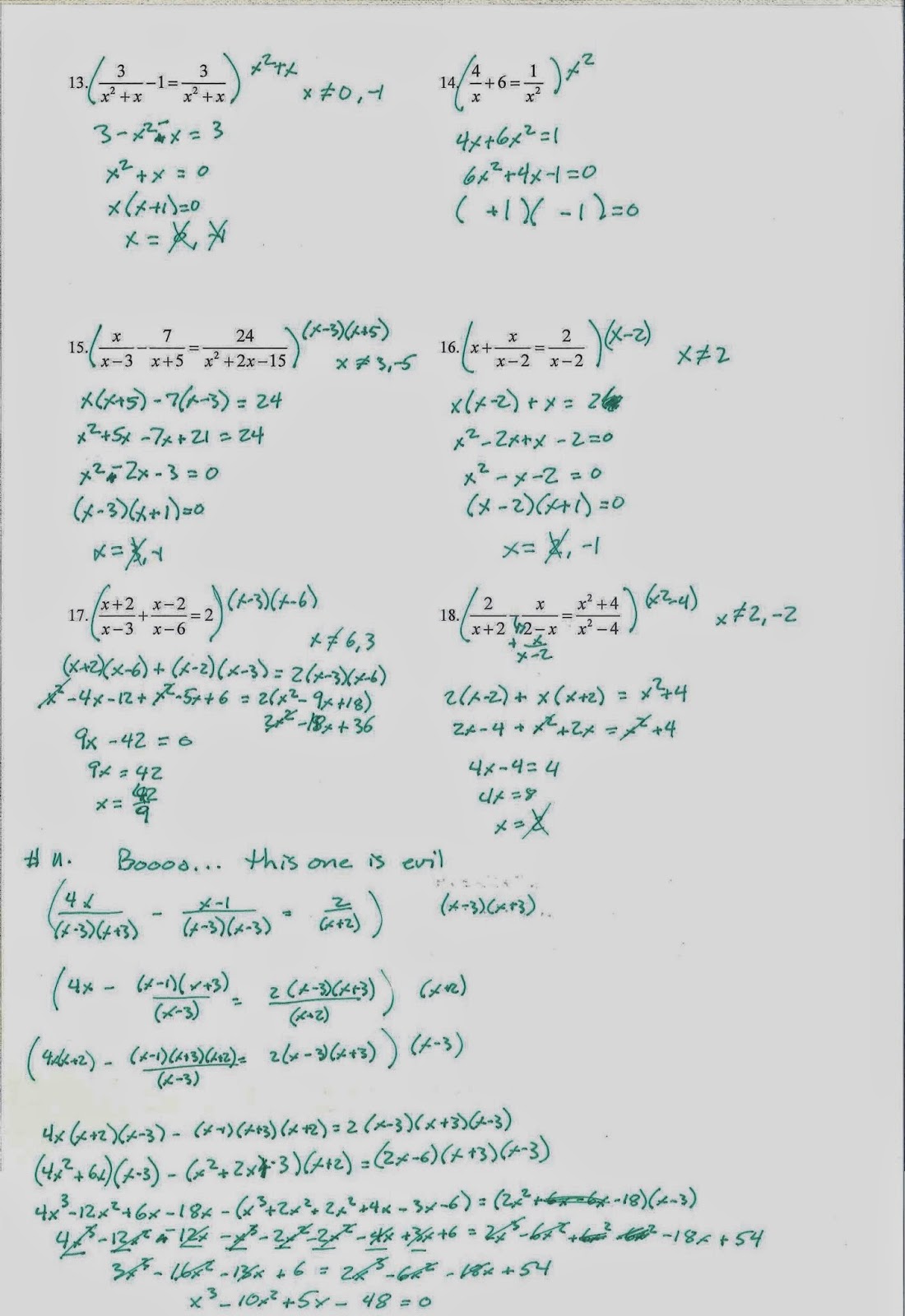
Classwork 4/1
Here's the classwork from today. I would like you to finish the work to be checked tomorrow. I would skip #19 as it ends up being a cubic equation and is generally mean to math students.
No comments:
Post a Comment
Newer Post
Older Post
Home
Subscribe to:
Post Comments (Atom)
No comments:
Post a Comment